안녕하세요 오늘은 저번 포스팅에 이어서 전단 메커니즘과 관련된 글을 작성하겠습니다. 지난 포스팅에서는 전단 철근이 없는 부재에 대해서 일반적인 전단 메커니즘에 대해서 글을 작성했습니다. 내용은 아래의 링크를 참고해 주세요!
전단 메커니즘의 이해-1편 : 전단 철근이 없는 부재에 대하여
안녕하세요 오늘은 전단 설계를 하기 위해서 콘크리트 부재의 전단 메커니즘에 대한 이해가 선행되어야합니다. 그래서 오늘은 전단 메커니즘에 대한 이해를 돕기위한 개념적인 글을 작성해 보
manguhouse.com
오늘은 전단 철근이 보강된 부재에 대해서 전단 메커니즘을 알아보도록 하겠습니다. 전단철근은 스터럽(stirrup)이라고 부르며 해당 철근의 역할은 사인장 균열이 발생한 이후에 콘크리트가 받을 수 없는 전단력을 스터럽이 부담하면서 전단저항력을 향상시킵니다.
스터럽의 구체적인 전단향상 방법은 다음과 같습니다.
- 휨-전단 균열이 통과하는 휨철근을 구속시켜서 다월작용 향상시킨다.
- 콘크리트 경사 압축대에 의해서 부재에 발생하는 균열(휨인장응력)을 억제한다.
- 균열의 폭을 제한하기 때문에 골재의 맞물림에 의한 전단저항이 향상 혹은 유지된다.
- 충분한 전단철근이 보강된 경우 구속력의 증가로 압축대의 강도가 향상된다.
- splitting crack이 발생했을 때 부착력의 완전한 손상을 방지한다.

그렇다면 이제 자세히 전단보강근이 있는 부재에 대한 전단 메커니즘에 대해서 하나씩 살펴봅시다.
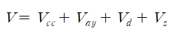
[전단저항 요소]
전단저항 요소는 전단철근이 없는 부재에와 비슷하지만 전단철근과 관련된 요소만 추가된 것으로 표현할 수 있습니다.

여기서, Vs는 전단철근에 의한 전단강도입니다.

균열이 발생하기 전에는 모든 전단은 콘크리트에 의해서 저항하게 되며, 만약 균열(휨균열)이 발생하게 된다면 외부의 전단력은 균열이 발생하지 않은 단면의 콘크리트의 전단저항, 골재의 맞물림, 다월작용에 의해서 저항합니다. 또한, 균열이 전단철근을 지나가면 전단철근에 의한 저항력 역시 발생하게 됩니다.
이때, 전단철근이 항복하게 되면 균열은 넓어지고 골재의 맞물림 작용은 급격히 떨어집니다. 이럴경우 찢어짐 파괴(인장철근이 절단되면서 파괴되는 현상)가 발생하거나 압축영역의 분쇄파괴가 발생하기 전까지 다월작용과 비균열 콘크리트의 전단저항이 지속적으로 증가하면서 외부 전단력에 대해서 저항하게 됩니다.
아래의 그래프를 참고하면 내부 전단력의 분포를 이해하는데 도움이 될 것으로 생각됩니다.

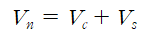
설계에서는 다월철근과 골재의 맞물림 효과를 정량화하기 어렵기 때문에 Vc로 합쳐서 표현하게 됩니다. 즉, 설계식에서는 다음과 같이 표현됩니다.

[전단철근이 보강된 부재의 강도산정]
앞서 전단철근의 보강된 부재의 공칭강도는 다음과 같다고 언급했습니다.

여기서 Vc는 전단철근이 보강되지 않은 부재와 동일하게 강도를 산정합니다. 전단 메커니즘 1편을 참고해 주세요! 중요한것은 콘크리트의 전단강도는 실험과 경험에 근거한 식이라는 것입니다.
Vs는 직접 유도할 수 있습니다. 직접유도하는 과정은 아래와 같습니다.
일반적인 해를 유도하기 위해서 균열 경사각도는 β, 스터럽의 경사각도는 α로 가정하겠습니다.

위의 그림에서 스터럽은 s의 간격으로 배근되어 있고 균열면 내에 존재하는 스터럽의 개수는 다음과 같습니다.

또한, 스터럽의 개당 전단강도는 기본적인 삼각함수를 사용한 분력으로 산정할 수 있습니다.

그러므로 균열면 내에서 스터럽 전체의 전단강도는 다음과 같습니다.

아래의 그림을 참고하시면 더 쉽게 이해가 갈 것입니다.

설계에서는 위에서 구한 철근의 전단강도에서 균열각도가 45도라고 가정을 하기 때문에 단순화 시킬 수 있으며 일반적으로 스터럽을 수직으로 배근하기 때문에 α의 값도 90도가 됩니다. 그래서 이러한 내용을 반영하면 아래의 식으로 간략하게 정리됩니다.

[전단설계와 관련된 세부사항]
전단설계 과정은 아래의 식을 만족하도록 설계를 해야합니다.

강도감소계수는 0.75이며, 여기서 전단 철근의 직경이 결정되었을 때, 전단철근의 간격은 다음과 같이 결정할 수 있습니다.

경사균열에 스터럽이 배치되지 않으면 전단에 대해서 저항할 수 없기 때문에 건축구조기준에서는 최대간격을 제한하고 있습니다.
1. 전단철근의 간격제한
직각으로 배치된 전단철근의 경우
- 0.5d이하
- 프리스트레스트콘크리트는 0.75h이하
- 600mm 이하
경사스터럽으로 배치된 경우
- 0.5d에서 주인장철근으로 45도 연장된 선과 한번 이상 균열이 교차되도록 배근
만약 전단철근의 강도가 다음조건에 해당한다면 위의 간격에 절반으로 제한합니다.

2. 최소 전단철근
최소 전단철근은 계수전단력이 콘크리트에 의한 설계전단강도의 0.5배를 초과하는 모든 구간에서 배치해야합니다. 예외조항이 있으며 예외조항은 1편에서 작성해 두었으니 확인해 보시길 바랍니다. 건축구조기준에서는 최소전단철근을 다음과 같이 규정하고 있습니다.

3. 스터럽의 정착에 대한 요구사항
- 단일 U형 또는 다중 U형 스터럽의 양 정착단 사이의 연속구간 내에서 굽혀진 부분은 종방향 철근을 둘러싸야한다. 그렇지 않은 경우 변곡부가 펴지게 되어 피복이 탈락되는 현상이 발생할 수 있다.
- D16이하의 철근은 항복강도의 상관없이 특별한 정착길이를 요구하지 않으며, 표준갈고를 사용할 수 있도록 허용하고 있다.
- 항복강도가 300MPa 이상이고 D19, D22 및 D25 스터럽은 종방향 철근을 둘러싸는 표준갈고리 외에도 부재의 중간높이에서 갈고리 단부의 바깥까지 아래의 묻힘길이 이상을 확보하도록 하고 있다.

- 압축철근이 배치된 보나 응력의 반전이 있는 보, 비틀림을 받는 보는 폐쇄스터럽을 배치하도록 규정하고 있으며 보의 끝 부분이나 테두리보에는 폐쇄스터럽 또는 적어도 135도의 표준갈고리를 사용해야한다.
4. 전단철근의 강도제한
전단철근의 경우 설계기준항복강도를 500MPa로 제한하고 있습니다. 그 이유는 미세균열이 철근이 항복강도를 충분히 발휘하기 전에 파단을 발생킬 수 있기 때문입니다. 즉, 연성적인 거동을 하기위해서 제한하는 것으로 볼 수 있습니다. 용접이형철말의 경우는 600MPa로 제한하고 있습니다.
5. 균열폭을 제한하기 위한 전단철근의 강도 제한
전단철근의 강도가 높아질 수록 철근의 간격은 넓어질 것입니다. 이렇게 되면 균열폭은 커지고 사용성 및 내구성에 문제가 발생할 수 있기 때문에 아래의 식으로 최대강도를 제한하고 있습니다.

만약 보통중량골재를 사용한다면 위의 우측항은 4Vc와 같을 것입니다.
6. 최대전단력의 위치
하중이 상부 플랜지에 작용하고 바닥에서 지지되면 가장 가까운 경사균열은 받침부로 부터 45도 방향으로 발생합니다. 그러므로 유효깊이 d이내에 작용하는 하중은 압축대에 의해 받침부로 직접 전달됩니다. 해당영역은 스터럽에 영향을 주지 않기때문에 해당 내용을 위험단면을 통해서 설계에 반영하고 있습니다.
- 작용전단력 방향으로 받침부 반력이 부재의 단부를 압축한다.
- 하중은 부재의 상면 또는 그 근처에 작용한다.
- 받침부 내면과 위험단면 사이에 집중하중이 작용하지 않는다.
위의 조건을 만족하면 받침부 내면에서 d거리 이내에 위치한 단면은 d거리만큼 떨어진 Vu값으로 설계할 수 있습니다. 아래의 그림을 참고하시면 조금 더 이해가 빠를 것입니다.

오늘은 전단 철근이 있는 부재의 전단메커니즘과 전단 철근의 강도, 여러가지 관련 세부사항에 대해서 글을 작성해 보았습니다. 오늘도 글을 읽어주셔서 감사합니다 😊
'콘크리트' 카테고리의 다른 글
| 상대강성반경(Radius of Relative Stiffness)는 무엇일까? (0) | 2025.04.05 |
|---|---|
| 비틀림 공식의 유도 (0) | 2024.11.19 |
| 전단 메커니즘의 이해-1편 : 전단 철근이 없는 부재에 대하여 (0) | 2024.09.22 |
| 기둥의 좌굴과 장주의 설계(세장비, 확대휨모멘트, 오일러 좌굴하중) (0) | 2024.09.18 |
| 2축 휨을 받는 기둥: 실제 기둥은 대부분 2축 휨을 받는다. (0) | 2024.09.13 |