안녕하세요 오늘은 기둥의 좌굴과 장주의 설계에 대한 글을 작성해 보겠습니다. 기둥은 세장비에 따라 단주와 장주로 나뉘게 됩니다. 단주 기둥은 이전에 포스팅 했던 휨과 축력을 고려한 해석으로부터 산정한 강도와 같은 강도를 가집니다. 하지만 장주의 경우는 2차변형으로 인한 추가적인 2차 모멘트가 발생하고 이로 인해서 강도가 감소하는 현상이 나타납니다. 이러한 점을 고려하기 위해서는 장주의 설계에서는 확대휨모멘트를 고려하여 설계합니다. 그렇다면 이제부터 하나씩 알아보도록 합시다.
[장주의 거동]
만약 기둥이 세장하여 장주로 판단된다면 최대모멘트는 편심거리와 2차변형에 의한 Δ의 값을 고려한 모멘트 값이 되어야한다. 즉, M=P X (편심거리+2차변형에 의한 변위)이 됩니다. 또한 축하중이 증가함에 따라 Δ값이 증가하므로 곡선의 형태로 아래의 그림과 같은 진행경로가 됩니다. 만약에 장주가 매우 세장하다면 상관곡선 파괴면에 도달하기전에 좌굴에 의한 파괴가 발생합니다. 주로 비횡구속된 장주가 좌굴파괴가 발생합니다. 아래의 그림을 참고해 주세요.

즉, 기둥의 세장비가 기둥의 강도에 중요한 영향을 미치는 것을 알 수 있습니다. 그렇다면 세장비에 대한 개념을 정확하게 알기 위해서는 우선적으로 오일러 좌굴하중에 대한 공부가 선행해야합니다. 이제 오일러 좌굴하중에 대해서 알아봅시다.
[오일러 좌굴하중]
좌굴은 부재의 길이, 경계조건 등에 영향을 받습니다. 그렇다면 양단이 단순지지된 기둥, 양단고정 및 횡구속된 기둥, 양단고정 및 비횡구속된 기둥에 대해서 좌굴하중을 계산하는 방법은 힘의 평형방정식을 푸는 것인데 이때 미분방정식을 적용하여 좌굴하중을 계산할 수 있습니다. 다들 한번씩 찾아서 유도과정을 스터디하셨으면 좋겠습니다.

이때 부재 단부의 경계조건에 따라서 처짐과 처짐각이 달라지며 결과적으로 좌굴길이가 달라지기 때문에 좌굴하중 또한 달라집니다. 오일러는 단부의 조건에 따라서 달라지는 좌굴하중을 유효좌굴길이를 이용하여 다음과 같이 정리하였습니다.

경계조건에 따라 k값을 선택하여 아래의 그림처럼 선택하여 계산할 수 있습니다.

이것을 다시 응력으로 변환시키면 다음과 같습니다.

좌굴응력에서 분모에 세장비가 들어가는 수식으로 정리할 수 있고 이 세장비를 이용하여 장주와 단두를 구분하는 역할을 하게 됩니다.
[기둥의 유효좌굴길이]
오일러의 좌굴하중을 계산하기 위해서는 k값이 유효좌굴길이계수를 꼭 알아야합니다. 하지만 기둥의 유효좌굴길이계수가 나타나 있는 표는 굉장히 이상적인 상태의 값으로 완벽한 Pin, Fix 인 상태에서의 값입니다. 하지만 실제의 구조물의 경계조건은 이상적인 조건의 상태가 아니며 이러한 점을 고려하여 실제 구조물의 k값을 구하는 방법이 건축구조기준에서 제시되어 있습니다.
기둥의 경계조건은 상부와 하부에 보의 강성(단면의 크기)등을 고려하여 기둥의 구속효과가 얼마나 큰지 판단해야합니다. 설계에서는 기둥과 연결된 부재의 상대강성을 고려하여 도식적인 방법과 수식적인 방법을 통해 산정할 수 있습니다.
-도식적인 방법
도식해법은 양단의 강성비를 계산한 후에 이를 이용하여 Jackson과 Moreland가 제안한 도표를 이용하여 산정할 수 있습니다. 기둥 양단의 강성비를 계산하는 방법은 아래와 같습니다.


횡구속 골조인지 비횡구속 골조인지 확인한 후에 도표를 선택합니다. 그 후 양단의 강성비를 계산하고 서로 연결합니다. 이때 k축과 만나는 점이 유효좌굴길이계수 값이 됩니다.
-수식적인 방법
수식해법은 계산한 기둥 양단의 강성비를 이용하여 계산합니다.
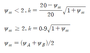
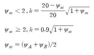
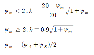
①횡구속골조

②비횡구속골조
- 양단이 구속된 압축부재

- 1단 구속 및 1단 힌지인 압축부재

[횡구속 골조와 비횡구속 골조의 구분]
장주의 설계를 위해서는 횡구속 골조인지 비횡구속 골조인지 구분을 해야합니다.
설계에서는 안정성지수(Q)를 이용하여 횡구속 골조 여부를 결정합니다. 안정성지수는 PΔ효과에 의하여 발생하는 모멘트와 횡하중에 의한 모멘트 비를 이용하여 계산합니다.

[장주와 단주의 구분]
① 횡구속 골조의 경우
세장비가 아래의 조건을 만족하는 경우에는 단주로 판단하며, 해당 값을 초과하는 경우 장주로 설계를 진행해야합니다.

② 비횡구속 골조의 경우
세장비가 아래의 조건을 만족하는 경우에는 단주로 판단하며, 해당 값을 초과하는 경우 장주로 설계를 진행해야합니다.

[확대휨모멘트]
기둥이 장주인 경우 축력에 의하여 PΔ만큼의 추가 모멘트가 발생합니다. 확대 휨모멘트 역시 횡구속 여부에 따라서 확대휨모멘트를 다르게 산정합니다.
① 횡구속 골조 기둥의 확대휨모멘트
<확대계수>
횡구속 골조 기둥의 확대휨모멘트는 최대 단부 모멘트에 확대계수(δb)를 곱하여 산정할 수 있도록 제시하고 있습니다. 그렇다면 확대계수는 어떻게 유도하는지 단순 지지된 기둥을 예시로 설명을 해보겠습니다.

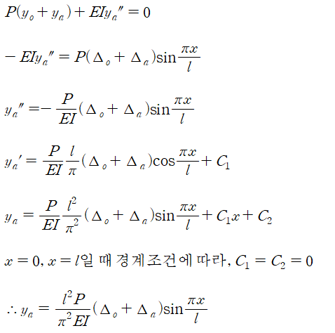
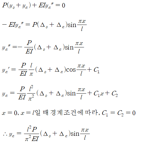
- 기둥의 처짐함수

- 힘의 평형조건

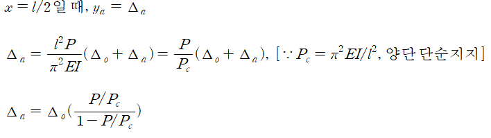
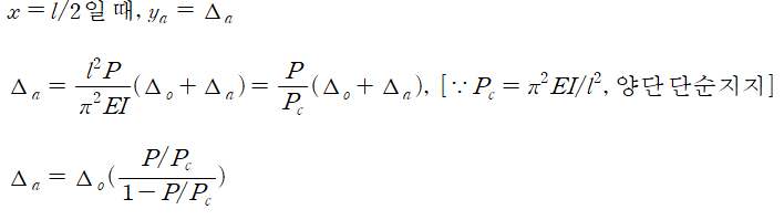
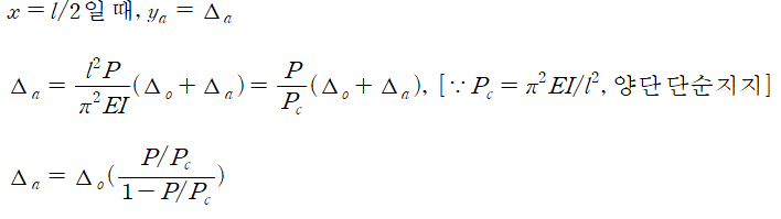
- x=l/2인 지점에서 y_a=Δ_a

- 전체 처짐

- 전체 모멘트

- 확대계수

위와 같이 양단 단순지지된 경우의 확대계수를 유도해 보았습니다.
<등가균일휨모멘트 보정계수>
하지만 실제 기둥의 경우, 상부와 단부의 모멘트가 다를 수 있고 모멘트 방향이 서로 같으면 최대 휨모멘트는 기둥의 중간부근에 발생하지 않고 단부 근처에서 발생할 수 있습니다. 이러한 기둥에 대해서 확대계수를 보정하기 위해 등가균일휨모멘트 보정계수(Cm)를 곱하여 산정합니다.

최대 단부모멘트는 아래와 같은 최소조건을 만족시켜야 합니다.

만약, 기둥 양단사이의 횡하중이 있거나 M_(2,min)이 M_2보다 크다면 Cm값은 1.0을 적용합니다.
<수정확대계수>
건축구조기준에서는 강성감소계수를 고려하였다. 강성감소계수는 강성 EI와 휨모멘트 해석에서 불확실성을 고려하기 위한 값으로 0.75로 제시하였습니다.

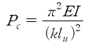
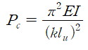
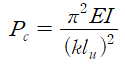
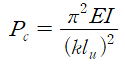
<오일러 좌굴하중의 강성, EI>
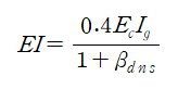
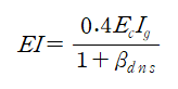
하중이 일정값 이상으로 가해지면 부재에 균열이 발생하며 콘크리트의 탄성계수와 단면2차모멘트가 감소할 수 있습니다. 그러므로 좌굴하중(Pc)를 계산할때 다음과 같은 강성을 사용해야합니다.

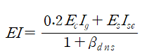
- 철근비가 크거나 정확한 해를 요구할 경우

- 철근비가 적거나 간략하게 계산할 경우


- β_dns=0.6으로 가정(건축구조기준에서 개략적인 계산이 필요할 경우 사용가능하도록 제시)

- β_dns 계산 방법

<최종 확대계수휨모멘트>
최종적으로 확대계수휨모멘트는 다음과 같이 산정할 수 있습니다.

② 비횡구속 골조 기둥의 확대휨모멘트
비횡구속 골조 기둥의 경우에는 건축구조기준에서 단모멘트에 계수를 곱하여 확대해 설계하도록 규정하고 있습니다.
식으로 확인하면 다음과 같습니다.

이때 휨모멘트 확대계수는 다음과 같이 산정합니다.

이때 Pc를 계산할 때, EI 휨강성은 β_dns대신에 β_ds를 사용해야 합니다. β_ds는 1개 층 전체의 최대 계수전단력에 대한 최대 계수지속전단력의 비 입니다. 1.0이하의 값을 가지며 지속적인 횡하중(예를 들면 지하층의 토압)에서는 0이상의 값을 가지며 단기횡하중(풍, 지진하중)에 대해서는 0의 값을 가집니다. 또한, k는 1.0이상이 되어야 합니다.
2차 영향을 포함한 총 휨모멘트는 1차해석에 의한 휨모멘트의 1.4배 이하여야 합니다. 그 이유는 건축구조기준의 해설을 참고하면, 구조물의 중량이 크고 횡방향 가성이 작은 경우에는 P-Δ효과가 과도하게 발생항 수 있으며, 구조물이 불안정 상태가 될 수 있습니다. 그러므로 연구에 의해 1.4배를 초과하지 않도록 제한하고 있습니다.
오늘은 기둥의 좌굴과 장주의 설계에 대해서 글을 작성해 보았습니다. 장주의 설계는 세장비, 오일러 좌굴하중, 골조의 횡구속여부, 확대계수 등 다양한 개념의 적립이 필요합니다. 여러분도 꼭 공부해보시길 바랍니다. 오늘도 글을 읽어주셔서 감사합니다.🍀
'콘크리트' 카테고리의 다른 글
| 전단 메커니즘의 이해-2편 : 전단 철근이 보강된 보 (1) | 2024.09.30 |
|---|---|
| 전단 메커니즘의 이해-1편 : 전단 철근이 없는 부재에 대하여 (0) | 2024.09.22 |
| 2축 휨을 받는 기둥: 실제 기둥은 대부분 2축 휨을 받는다. (0) | 2024.09.13 |
| P-M 상관곡선 관련 예제 풀이 (1) | 2024.09.10 |
| 기둥의 하중-모멘트 상관도(P-M Interaction Diagram) : 부재가 축력과 모멘트가 동시에 작용하는 경우 (0) | 2024.09.06 |