안녕하세요 오늘은 전단 설계를 하기 위해서 콘크리트 부재의 전단 메커니즘에 대한 이해가 선행되어야합니다. 그래서 오늘은 전단 메커니즘에 대한 이해를 돕기위한 개념적인 글을 작성해 보겠습니다.
일반적으로 철근콘크리트 부재의 설계에서 스터럽과 후프근을 배근하여 부재가 전단에 대해서 적절히 저항할 수 있도록 합니다. 그렇다면 이러한 전단보강근은 어떠한 기준에 따라서 배근하는지 그리고 왜 그러한 기준이 만들어졌는지 알아야 합니다.
그러기 위해서 탄성해석에 의한 전단파괴의 일반적인 메커니즘을 이해해야합니다. 물론, 철근콘크리트 부재는 탄성적인 거동을 하지는 않습니다. 하지만 탄성해석은 모든 부재의 거동을 이해하기 위한 가장 기초적인 해석방법이며 탄성해석의 결과를 변형 및 발전을 통해서 비탄성적인 거동을 유추하는 경우도 있으므로 탄성해석에 의한 전단파괴의 메커니즘을 먼저 알아보겠습니다.
[전단파괴 메커니즘의 탄성적 이해]
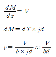
등분포하중을 받는 철근콘크리트 부재에 작용하는 평균전단응력을 다음과 같이 표현할 수 있습니다. 미소 길이 dx를 절단하여 자유물체도를 생각해본다면 다음과 같은 식이 도출됩니다.


위의 식을 재료역학적으로 정리하면 다음과 같을 것입니다.

[전단 철근이 없는 콘크리트의 전단저항 요소]
철근콘크리트 부재의 전단저항의 경우 전단철근의 유무에 따라 달라집니다. 우선적으로 전단철근이 없는 철근콘크리트 부재의 전단저항요소에 대해서 알아보도록 하겠습니다.

- 균열이 발생하지 않은 콘크리트의 전단저항
사인장균열이 발생하지 않은 압축영역의 콘크리트의 전단저항력입니다. 주로 콘크리트의 인장강도와 연관이 있습니다. - 골재의 맞물림 작용에 의한 전단저항
균열 부분의 골재의 맞물림 작용에 의한 전단저항력입니다. 실제 균열면은 거치므로 균열 양면의 골재 마찰력에 의한 전단저항을 하게 됩니다. - 인장철근의 장부작용에 의한 전단저항(다월액션)
인장철근의 장부작용에 의한 전단저항력으로 피복두께가 두꺼울수록 효과가 커지며, 만약 전단철근이 있다면 장부작용력은 더 커집니다. - 전단경간-깊이 비(a/d)
이외에도 전단경간-깊이 비(a/d)는 전단저항과 밀접한 관계가 있습니다.전단경간비가 작은 경우에는 보의 아치거동으로 인해 압축대의 폭이 커지며 전단저항능력이 커집니다. 또한, 전단경간비가 점점 커지면 이러한 압축대의 폭이 작아지면서 전단저항능력이 작아집니다.
결론적으로 전단철근이 없는 철근콘크리트 부재의 전단력은 다음과 같이 표현할 수 있습니다.

[전단철근이 없는 콘크리트 부재의 전단강도식]
건축구조기준에서는 이러한 요소들을 설계식에 포함되도록 제시하였습니다. 하지만 이 식은 완벽한 이론식이 아니며 실험과 경험에의한 반경험적 설계식입니다. 건축구조기준에서 제시하는 식은 보수적인 결과를 보여주므로 안전하다고 볼 수 있습니다. 설계식에는 다음과 같은 요소들이 포함되어 있습니다.
- 콘크리트의 인장강도 fck^(1/2)
- 균열 및 장부작용에 의한 철근비 ρw
- 전단경간-깊이 비 a/d(M/Vd)
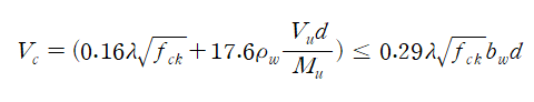
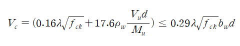
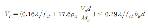
위와 같은 요소들을 조합하여 건축구조기준에서는 상세식을 다음과 같이 제시하고 있습니다.

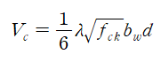
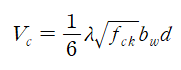
또한, 위의 복잡한 상세식 대신해서 간략식을 사용할 수 있도록 제시하였습니다.

[축력에 의한 전단강도의 변화]
부재가 축하중을 받을 경우 전단강도는 그에 따른 영향을 받습니다. 축방향으로 압축력이 작용할 때는 전단에 의한 사인장력이 감소되고 인장력이 작용할 때는 오히려 사인장력과 축인장력이 동시에 작용하므로 전단에 대한 저항력이 감소됩니다.

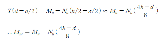
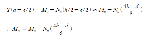
콘크리트의 압축내력 C가 작용하는 위치에서의 모멘트의 평형관계를 고려하면 다음과 같은 식이 유도됩니다.

Mm은 사인장 균열에 영향을 주는 등가의 휨모멘트로 처음에 제시되어 있던 상세식 Mu에 적용하면 다음과 같습니다.

휨과 압축력이 동시에 작용하는 경우의 간략식은 다음과 같습니다.

압축력 Nu는 (+)부호를 가집니다.
휨과 축인장력이 작용하는 경우의 상세식은 다음과 같습니다.

휨과 축인장력이 작용하는 경우의 간략식은 다음과 같습니다.

위와 같이 전단강도는 축하중의 영향을 받기 때문에 해당 내용을 어느정도 인지하고 있는 것이 중요해 보입니다.
[강도감소계수와 예외규정]
전단에 의한 사인장 파괴는 굉장히 취성적이며 완전한 붕괴를 발생시키기 때문에 일어나서는 안되는 붕괴 메커니즘입니다. 그래서 전단파괴를 일으키는 하중보다 낮은 하중에서 휨에 의해서 파괴가 일어나도록 유도하는 것이 설계의 주목적입니다. 휨 설계시 사용되는 강도감소계수는 0.85이지만 전단에 대한 강도감소계수는 0.75로 더 낮은 것은 위와 같은 이유 때문일 것입니다.
또한, 거의 모든 보에 대해서 전단보강을 하도록 건축구조기준에서는 제시하고 있습니다. 다만, 계수전단력이 매우 낮은 영역에서는 전단철근을 배치하지 않아도 된다고 규정하고 있습니다.(하지만 실제 설계에서는 모든 영역에서 전단철근을 배치합니다; 최소전단철근) 아래의 규정을 만족하는 구간은 전단철근을 배치하지 않아도 됩니다.

예외규정으로 폭이 넓고 깊이가 낮은 부재는 단면의 모든 전단강도가 유효하다고 보아 판별하도록 하였습니다. 따라서 계수전단력이 부재의 설계전단강도를 초과하지 않는 경우에는 전단보강철근을 배치할 필요가 없습니다.
- 슬래브와 기초판
- 콘크리트 장선구조
- 전체 깊이가 250mm이하인 단독 보인 경우
- 깊이가 max(플랜지 두께의 2.5배, 복부 폭의 0.5배)이하인 슬래프와 일체로 시공된 보인 경우
- 교대 벽체 및 날개벽, 옹벽의 벽체, 암거 등과 같이 휨이 주거동인 판 부재인 경우
- 순단면의 깊이가 315mm를 초과하지 않는 프리스트레스트 속빈 부재이거나 프리스트레스트 속비 부재에 작용하는 계수전단력이 0.5ΦVcw인 경우
- 강섬유콘크리트 보에서 보의 깊이가 600mm이하이고 설계기준강도fck이가 40MPa이하이면서 계수전단력이 Φ[(fck^1/2)/6](bw)(d)이하인 경우
오늘은 전단철근이 없는 콘크리트 부재의 전단메커니즘과 구조기준의 전단강도식에 대해서 알아보았습니다. 다음 포스팅에서는 전단철근이 있는 부재에 대해서 자세히 글을 작성해 보도록하겠습니다. 오늘도 글을 읽어주셔서 감사합니다.🍀
'콘크리트' 카테고리의 다른 글
| 비틀림 공식의 유도 (0) | 2024.11.19 |
|---|---|
| 전단 메커니즘의 이해-2편 : 전단 철근이 보강된 보 (0) | 2024.09.30 |
| 기둥의 좌굴과 장주의 설계(세장비, 확대휨모멘트, 오일러 좌굴하중) (0) | 2024.09.18 |
| 2축 휨을 받는 기둥: 실제 기둥은 대부분 2축 휨을 받는다. (0) | 2024.09.13 |
| P-M 상관곡선 관련 예제 풀이 (0) | 2024.09.10 |