오늘은 비틀림에 관해서 글을 작성해 보도록하겠습니다. 실제로 설계에서는 보의 비틀림을 고려하여 설계하는 경우가 대부분 없습니다. 비틀림에 대한 영향이 크지 않기 때문으로 알고 있습니다. 하지만 최외단 보의 경우 비틀림이 크게 작용할 수 있으므로 비틀림에 대한 개념을 이해하는 것은 중요할 것으로 생각됩니다. 오늘은 비틀림설계에 대해서 간략하게 설명하는 글과 해당 공식을 유도하는 과정에 대해서 설명해 보려고 합니다.
철근콘크리트부재의 작용하는 비틀림모멘트는 전단파괴와 유사하게 사인장균열을 유발하여 취성적인 파괴를 발생시킵니다. 하지만 전단력에 의한 균열과 차이점은 응력의 방향이라고 볼 수 있습니다. 전단력에 의한 부재의 응력은 부재의 상부와 하부에는 거의 발생하지 않으며 앞면과 뒷면의 응력방향이 동일합니다. 반면, 비틀림에 의한 응력은 부재의 축방향을 따라 회전하기 때문에 부재의 앞과 뒤의 응력방행이 다르며 상부와 하부에도 응력을 발생시킵니다. 이러한 이유로 비틀림에 의한 균열은 스파이럴형태의 균열이 발생합니다. 전단철근의 경우에는 부재의 축에 직각방향(횡방향)으로 철근을 보강하지만 비틀림철근의 경우에는 횡방향과 종방향으로도 비틀림 철근을 보강합니다. 단면 전체를 감싸하는 폐쇄형 비틀림철근을 배근하며, 부재축방향에는 종방향 비틀림철근을 배근하여 비틀림 내력을 증대시킵니다.

1. 비틀림거동에 대한 기본이해
철근콘크리트의 비틀림파괴는 앞서 설명했듯이 휨인장파괴에 비해 연성도가 떨어지며 취성적인 거동을 보입니다. 부재에 비틀림이 발생했을 때, 비틀림 철근의 유무에 따라 비틀림 철근의 연성도는 큰 차이를 보입니다. 실제 여러 실험논문을 참고하면 비틀림 철근없는 부재는 초기사인장균열과 함께 취성적으로 파괴되며 비틀림 철근이 배근되어 있는 부재는 여러개의 미세한 사인장균열이 발생한 후 지속적인 변형이 발생한 뒤에 부재 복부의 압축파괴에 의해서 비교적 연성적인 거동을 나타내는 것을 확인할 수 있습니다.

Loading system and locations of LVDTs / 이정윤, 김상우 and 김지현. (2008). 순수비틀림을 받는 철근콘크리트 보의 비틀림 강도와 파괴모드. 콘크리트학회 논문집, 20(4), 503-511.



2. 파괴모드
비틀림 파괴모드는 역시 전단거동, 휨인장거동과 유사하게 철근과 콘크리트의 상대적 저항력차이에 의해 구분됩니다. 다만, 비틀림은 철근이 종방향과 횡방향으로 배치되기 때문에 두개의 철근과 콘크리트의 상대적 세기에 의하여 파괴모드가 구분됩니다.
-최소비틀림철근파괴 : 비틀림철근이 매우 적게 배근, 부재에 사인장균열이 발생함과 동시에 내력이 급격히 감소하여 취성적인 거동을 나타냄
-비틀림인장파괴 : 비틀림 철근이 비교적 적게 배근, 비틀림 철근이 항복한 후 콘크리트의 압축파괴나 기타 비틀림파괴하는 경우(연성적인 거동을 함)
-비틀림균형파괴 : 종방향, 횡방향의 비틀림 철근이 항복변형률에 도달함과 동시에 콘크리트가 압축파괴 혹은 기타 비틀림 파괴하는 경우(취성적 거동)
-비틀림압축파괴 : 비틀림 철근이 많이 배근되어 있어서 비틀림 철근이 항복하기 전에 복부콘크리트가 압축파괴하거나 기타 비틀림파괴하여 취성적인 파괴거동을 나타냄
설계에서는 비교적 연성적인 거동을 유도하기 위해 최소 비틀림철근비와 최대 비틀림철근비를 규정하여 비틀림철근의 양을 제한하고 있습니다.
3. 비틀림 내력을 결정하기 위한 이론
설계를 위해서는 부재의 강도를 결정해야합니다. 대표적인 비틀림모멘트 이론들을 정리하면 다음과 같습니다.
-Navier이론
-St. Venant 탄성이론 & Nadai 소성이론
-Skew bending 이론
-박판튜브이론(thin walled tube theory)_박벽관이론
-입체트러스모델(space truss model)_공간트러스 모델
실제 설계에서 적용되는 이론은 박판튜브이론(thin walled tube theory)과 입체트러스모델(space truss model)에 의하여 유도된 내력 산정식을 사용하고 있습니다.
박판튜브이론(thin walled tube theory) / 입체트러스모델(space truss model)
해당이론으로 설계할 때 몇가지 이상화를 진행합니다. 비틀림응력은 내부 콘크리트 일부분을 무시한 박벽관으로 이상화는 것입니다. 또한, 비틀림 철근의 설계는 3차원 공간 트러스에 의해 힘이 전달된다는 가정을 하여 산정합니다.

이제는 박벽관이론에 의한 균열모멘트를 산정해보겠습니다.

비틀림 강도는 다음과 같이 유도할 수 있습니다.

4. 비틀림모멘트 구조설계기준
비틀림모멘트의 평가식은 1995년까지 콘크리트에 의한 비틀림내력과 철근에 의한 비틀림내력의 합으로 비틀림모멘트의 내력을 계산하였지만, 그 이후 MacGregor 등의 연구 결과에 근거하여 개정되었습니다. 개정된 비틀림 평가식은 박판튜브이론과 입체트러스이론에 근거하고 있으며 다음과 같은 특징을 가지고 있습니다.
-콘크리트에 의한 비틀림 저항을 고려하지 않고 비틀림철근에 의한 내력만을 고려함.
-콘크리트 압축대의 경사각을 45도로 가정하지 않고 부재축방향과 부재축의 직각방향 비틀림철근의 양에 의하여 계산함.
-전단흐름 경로로 둘러싸인 총 단면적은 해석에 의해 결정하되, 해석을 하지 않을 경우, 폐쇄형스터럽의 중심선의 의해 둘러 싸인 면적에 0.85배로 함.
여기서 압축대의 경사각도는 직접 계산할 수 있지만 30도이상 60도 이하의 범위로 제한합니다. 또한, 프리스트레스트 긴장력이 가력되지 않은 부재나 긴장응력이 주철근의 인장강도의 40%미만인 경우에는 45도의 각도로 하는 것을 권장하고 긴장응력이 주철근 인장강도의 40%이상인 경우는 37.5도로 하는 것을 권장하고 있습니다.
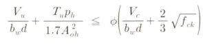
4.1 비틀림모멘트와 전단력이 동시에 작용하는 경우
실제 부재에 비틀림만 작용하는 경우는 거의 없습니다. 대부분의 부재에서 전단력과 휨모멘트 및 비틀림모멘트가 동시에 작용합니다. 설계에서는 전단력과 비틀림모멘트가 동시에 작용하는 부재에 대해서 압축대에 의한 파괴를 방지하기 위해서 다음과 같은 제한을 두고 있습니다.
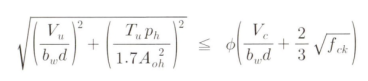
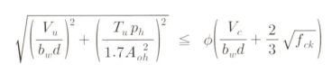
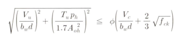
-속찬단면(Solid Section)

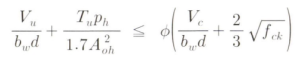
-속빈단면(Hollow Section) :

4.2 그외 상세 내용
-비틀림을 고려하지 않아도 되는 경우
소요비틀림모멘트가 균열비틀림모멘트의 1/4보다 작으면 휨과 전단강도에 큰 영향을 미치지 않으므로 비틀림모멘트를 무시할 수 있습니다. 균열 비틀림모멘트는 앞서 유도한 과정을 참고해주세요
그러므로 소요비틀림모멘트가 아래의 수식을 만족할 경우 부재의 비틀림을 고려하지 않아도 됩니다.

-비틀림철근의 상세, 최소 비틀림철근량과 간격
비틀림 철근의 설계기준 항복강도는 500MPa이하로 사용해야하며 종방향철근과 횡방향철근(폐쇄스터럽, 폐쇄띠철근, 폐쇄용접철망, 나선철근)으로 구성됩니다.
부재의 취성적인 거동을 방지하기 위해 횡방향철근의 최소면적을 아래의 식 이상이 되도록 규정하고 있습니다.

부재의 종방향 비틀림철근의 최소면적은 아래의 식 이상이 되도록 해야합니다.

횡방향비틀림철근의 간격 제한은 아래의 식 이하가 되도록 배치해야합니다.

-비틀림모멘트의 위험단면
전단과 같은 위험단면을 적용하면 됩니다.
지금까지 비틀림모멘트의한 기본적인 거동과 파괴모드 그리고 설계에 대한이론과 제한사항 등에 대해서 글을 작성해 보았습니다. 저도 설계를 하면서 비틀림설계를 해본경험이 없어서 아직까지 공부하고 있습니다. 모두들 열심히 공부하시길 바랍니다. 감사합니다. :))
'콘크리트' 카테고리의 다른 글
| 상대강성반경(Radius of Relative Stiffness)는 무엇일까? (0) | 2025.04.05 |
|---|---|
| 전단 메커니즘의 이해-2편 : 전단 철근이 보강된 보 (1) | 2024.09.30 |
| 전단 메커니즘의 이해-1편 : 전단 철근이 없는 부재에 대하여 (0) | 2024.09.22 |
| 기둥의 좌굴과 장주의 설계(세장비, 확대휨모멘트, 오일러 좌굴하중) (0) | 2024.09.18 |
| 2축 휨을 받는 기둥: 실제 기둥은 대부분 2축 휨을 받는다. (0) | 2024.09.13 |