안녕하세요 오늘은 휨 부재의 곡률연성도에 대해서 글을 작성하려고 합니다. 곡률연성도는 부재의 비탄성 거동을 평가하는 중요한 지표입니다. 탄성 범위를 벗어나 비탄성 영역에서 어느 정도의 변형을 견딜 수 있는지 알 수 있으며, 지진하중과 같은 동적하중에서 부재의 변형능력을 확인하기 위한 중요한 요소입니다.
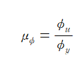
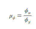
휨부재의 곡률연성도는 다음과 같은 수식으로 표현됩니다.


곡률연성도가 크다면 부재는 비탄성 변형능력이 좋은 것을 의미합니다. 이것은 내진성능을 평가할 때 중요한 요소로 작용합니다.
이러한 곡률연성도를 정확하게 알기 위해서는 모멘트-곡률관계를 이해하는 것이 중요합니다. 모멘트-곡률관계는 3개의 구간으로 나누어 설명할 수 있습니다.
1. 휨균열 발생하기 전 구간 (탄성구간) :
작은 하중(모멘트)에서 콘크리트 단면은 휨균열이 발생하지 않고 전단면에서 탄성적으로 거동하며 모멘트 증가와 함께 곡률도 선형적으로 증가하는 구간입니다.
2. 주인장철근의 항복 전 구간 :
해당 구간은 휨균열이 발생하여 부재가 비탄성으로 거동하며 모멘트의 증가와 함께 곡률이 비선형적으로 서서히 증가하여 주인장철근의 항복하는 구간까지를 나타냅니다.(항복곡률)
3. 콘크리트의 압축파괴 전 구간 :
해당 구간은 주인장철근이 항복하고 부재의 소성거동(plastic behavior)을 보이는 영역입니다. 해당 구간에서는 콘크리트의 압축파괴가 발생하기 전까지 곡률이 증가합니다. 그리고 압축파괴가 발생하는 시점이 극한곡률입니다.
아래의 그림을 참고하면 조금 더 쉽게 이해가 될 것입니다.

그렇다면 설계에서는 적절한 곡률연성도를 가지게 설계하는 방법은 무엇일까요? 최근에는 철근의 물량을 절감을 통한 경제성을 확보하고 시공성과 품질을 확보하기 위해 고강도 철근을 사용하는 경우가 많아지고 있습니다. 또한 고강도 콘크리트를 사용하면 단면의 크기를 줄일 수 있고 내구성 또한 좋아집니다. 하지만 명확한 단점은 연성이 떨어진다는 것입니다. 이와 관련된 문제가 건축직렬 기술고시에서 출제된 적이 있는걸로 알고있는데 해당 내용은 나중에 찾아서 올리도록 하겠습니다.
또한, 참고하기 좋은 논문도 있어서 같이 올려드립니다. 해당 논문은 기초적인 내용부터 해석적인 연구까지 확인할 수 있을 것입니다.
http://www.jkci.or.kr/jkci/XmlViewer/f312728
JKCI - Journal of the Korea Concrete Institute
이형준* (Hyung-Joon* Lee) 1)†leehj@hanbat.ac.kr ⓒ2013 by Korea Concrete Institute Key words (Korean) RC보 단면, 모멘트-곡률관계, 해석적 방법, 철근배치 조건, 곡률연성지수 Key words RC beam section, moment-curvature relation
www.jkci.or.kr
오늘은 휨부재의 곡률연성도가 가지는 의미에 대해서 글을 작성해보았습니다. 곡률연성도가 높을수록 변형능력이 좋은 것으로 볼 수 있으며 내진성능을 확인하기 위한 좋은 지표입니다. 또한, 고강도 재료를 사용할 때 적절한 연성도를 보유하고 있는지 혹은 너무 취성적이지 않은지 확인하는 것을 잊지 않으셨으면 좋겠습니다. 오늘도 글을 읽어주셔서 감사합니다 😊
'콘크리트' 카테고리의 다른 글
| 표피철근(skin reinforcement, surface reinforcement) : 측면의 휨 균열 억제를 위한 보강 (0) | 2024.08.02 |
|---|---|
| 콘크리트 부재의 휨 설계 : 압축응력의 분포와 콘크리트 변형률 사이의 관계(포물선-직선, 등가직사각형 압축응력블록) (0) | 2024.07.27 |
| 콘크리트 부재의 처짐 : 순간처짐과 장기처짐 (0) | 2024.07.24 |
| 콘크리트의 피로파괴 : 크기가 작은 하중의 반복은 부재의 파괴를 발생 시킬 수 있다 (0) | 2024.06.28 |
| 철근콘크리트의 균열 제한 : 철근의 간격과 균열은 밀접한 관계 (0) | 2024.06.27 |