안녕하세요 오늘은 콘크리트 부재의 처짐에 대해서 글을 작성해 보려고 합니다. 콘크리트 부재의 처짐에는 순간처짐과 장기처짐이 있습니다. 순간처짐은 말 그대로 하중이 가해지는 순간 즉각적으로 처짐이 발생하는 처짐량을 말하며 이것은 구조해석에서 알고 있는 처짐계산식 (탄성해석으로 산정가능)에 콘크리트의 재료적 특성을 대입하면 됩니다. 여기서 중요한 것은 이전에 포스팅했던 균열발생 여부에 따른 단면2차모멘트를 고려해야합니다. 해당 내용은 이전 포스팅을 참고해 주세요.
철근콘크리트 부재의 균열단면2차모멘트 : 균열 전과 후에 따른 단면2차모멘트 다르다
안녕하세요 오늘은 콘크리트 부재의 균열에 따른 단면2차모멘트의 변화에 대해서 글을 작성해 보려고 합니다. 여기서, 중요한 것은 부재의 균열 여부에 따라서 휨강성(EI)값이 바뀐다는 것입니
manguhouse.com
장기처짐은 콘크리트의 크리프와 건조수축에 밀접한 영향을 받아 시간에 따른 지속적인 처짐이 발생하는 현상입니다. 이러한 점에서 time dependent deflection이라고 할 수 있습니다. 콘크리트의 크리프와 건조수축과 관련된 내용은 이전에 포스팅했던 내용을 참고해 주세요.
콘크리트 재료 성질에 대한 이해 : 콘크리트의 체적변화 편
안녕하세요 오늘은 콘크리트 재료 성질 중에서 시간에 따른 체적변화에 대해서 알아보려고 합니다. 콘크리트의 체적변화를 일으키는 요인은 크게 다음과 같은 3가지 요인이 있습니다. 1.건조수
manguhouse.com
[순간처짐]
순간처짐은 앞서 설명한 내용과 같이 하중이 가해지는 순간 발생하는 즉각적인 처짐입니다. 하지만 여기서 중요한 점은 균열발생을 검토하는 것입니다. 그렇다면 순간처짐을 계산하는 과정을 설명드리겠습니다.
-하중상태에 따른 모멘트 계산
하중의 분포(집중하중, 등분포하중 등)에 따른 부재의 작용하는 모멘트를 계산합니다. 여기서 중요한 포인트는 고정하중만 작용할 때의 모멘트와 고정하중과 활하중이 동시에 작용할 때의 모멘트를 각각 계산하는게 좋습니다.

-균열발생검토 및 균열단면2차모멘트 계산
균열이 발생하는 휨균열모멘트(Mcr)의 초과여부를 가지고 균열을 판단합니다. 고정하중에 의한 모멘트로 균열발생 여부, 고정하중과 활하중에 의한 모멘트로 균열발생 여부를 각각 확인합니다. 만약에 균열이 발생한다면 균열단면2차모멘트를 산정해야하고 균열발생하지 않는다면 전단면2면차모멘트를 사용해야합니다. 예를 들어 고정하중만 작용할 때는 균열이 발생하지 않고 고정하중과 활하중이 동시에 작용할 때는 균열이 발생한다면 처짐을 계산할 때 고정하중에 의한 처짐은 전단면2면차모멘트, 고정하중과 활하중에 의한 처짐은 균열발생에 의한 유효단면2면차모멘트를 산정해야합니다.
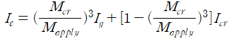
-유효단면2차모멘트 산정
유효단면2차모멘트는 비균열단면과 균열단면을 정확하게 구분하여 어렵기 때문에 균열이 발생하는 부재에 유효단면2차모멘트를 산정하여 계산합니다. 유효단면2차모멘트는 다음과 같이 산정합니다.

여기서, M_apply는 부재단면에 작용하는 최대모멘트입니다.
-처짐량 계산
처짐량은 탄성해석에 의해서 산정하는 방법을 이용하면 됩니다.

위의 그림은 몇가지 하중형태와 경계조건에 대한 탄성처짐 공식을 보여줍니다. 이외에도 다양한 유형의 하중상태와 경계조건에 대해서 처짐량을 계산할 줄 알아야합니다. 해당 내용은 기회가 될때 다루어 보도록 하겠습니다.

여기서, 중요한 것은 직접적으로 활하중만 작용할 때의 모멘트를 사용해서 균열여부를 판단하고 순간처짐을 계산하면 당연히 안됩니다!
[장기처짐]
장기처짐은 시간에 따라 콘크리트의 재료적 성질(크리프, 건조수축)에 의하여 압축변형이 발생됩니다. 장기하중에 의한 크리프와 건조수축변형이 증가하고 이것은 강성이 약해지며 콘크리트 탄성계수가 감소합니다. 이로인해 추가처짐이 발생합니다.
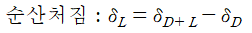
장기처짐은 지속하중에 의한 영향계수를 곱하여 추가적인 처짐을 고려합니다. 식으로는 다음과 같습니다.

지속하중에 의한 영향계수는 다음과 같습니다.

영향계수를 산정할 때 압축철근비가 사용되는 이유는 압축철근에 의해 압축력의 일부를 철근이 저항하여 콘크리트가 받는 압축력이 감소되기 때문입니다. 압축력이 감소하면 크리프가 감소되고 처짐을 억제할 수 있습니다.
오늘은 콘크리트 부재의 순간처짐과 장기처짐에 대해서 글을 작성해 보았습니다. 처짐은 구조물의 사용성에 있어서 가장 중요한 요소입니다. 그렇기 때문에 건축구조기준에서도 처짐제한을 규정하고 있습니다. 처짐과 관련된 예제를 계산해 보는것도 도움이 될 것입니다. 오늘도 글을 읽어주셔서 감사합니다 :)
'콘크리트' 카테고리의 다른 글
| 콘크리트 부재의 휨 설계 : 압축응력의 분포와 콘크리트 변형률 사이의 관계(포물선-직선, 등가직사각형 압축응력블록) (0) | 2024.07.27 |
|---|---|
| 휨 부재의 곡률연성도 : 비탄성 거동을 평가하는 중요한 지표 (0) | 2024.07.24 |
| 콘크리트의 피로파괴 : 크기가 작은 하중의 반복은 부재의 파괴를 발생 시킬 수 있다 (0) | 2024.06.28 |
| 철근콘크리트의 균열 제한 : 철근의 간격과 균열은 밀접한 관계 (0) | 2024.06.27 |
| 철근콘크리트 부재의 균열단면2차모멘트 : 균열 전과 후에 따른 단면2차모멘트 다르다 (0) | 2024.06.23 |