안녕하세요 오늘은 콘크리트의 균열을 제한하는 방법에 대해서 글을 작성하려고 합니다.
콘크리트의 균열을 허용균열폭이하로 직접 제한하는 방법도 있지만, 모든 콘크리트 부재에 대해서 전부 다 균열폭을 산정하여 제한하는 것은 현실적으로 어려울 수 있습니다.
그러므로 건축구조기준에서는 균열과 관련이 깊은 철근의 간격을 제한하는 방법으로 간접적인 제한방법을 제시하고 있습니다.
철근의 간격이 크면 균열이 발생하기 쉽습니다. 또한 균열은 압축부재보다는 휨부재에서 잘 발생합니다.(콘크리트는 인장에 취약하므로)
-철근간격 제한으로 균열제한
균열에 영향을 미치는 요소로 외부환경조건과 피복두께, 인장연단의 철근의 응력을 기준으로 최대 철근간격을 제한하여 그 간격을 초과하지 못하게 제한합니다. 해당 요소들은 실험에 의해서 결정된 것입니다.
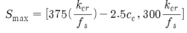
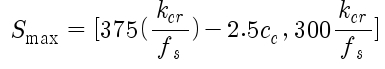
철근의 최대 중심간격은 다음과 같은 방법으로 계산합니다.

여기서, kcr은 철근의 노출조건을 고려한 계수로 건조환경에서는 280, 그 외에는 210을 사용합니다.
Cc는 인장철근과 콘크리트 표면의 최소두께, fs는 사용하중상태에서 인장연단에 가장 가까이 배근된 철근의 응력입니다.(간략식으로 항복응력의 2/3를 적용할 수 있습니다.)
만약에 해당 S_max 이하로 배근이 되어 있다면 균열을 허용기준이하로 제어 가능한 것으로 볼 수 있습니다. 이 방법 외에 직접적인 제한방법을 사용할 수 있습니다.
이것은 노출환경에 따른 허용균열폭과 부재의 균열폭을 계산하는 방식입니다.
-설계균열폭 직접계산방법
해당 방법은 계산식이 상당히 복잡합니다.
우선 구조물의 허용균열폭은 지침에 따라 다음과 같이 산정할 수 있습니다.
| 종류 | 환경조건 | |||
| 건조 | 습윤 | 부식성 | 고부식성 | |
| 철근 | 0.4mm, 0.006c 중 큰 값 | 0.3mm, 0.005c 중 큰 값 | 0.3mm, 0.004c 중 큰 값 | 0.3mm, 0.0035c 중 큰 값 |
| 긴장재 | 0.2mm, 0.005c 중 큰 값 | 0.2mm, 0.004c 중 큰 값 | - | - |
설계 균열폭은 다음과 같은 식으로 계산합니다.

-평균 균열간격

-평균균열간격변형률

-평균균열폭, 최대균열폭 계수

위의 계수들을 전부 조합하여 설계균열폭을 계산한 뒤에 허용균열폭보다 작으면 적절한 균열설계가 됩니다.
하지만 계산식이 위와 같이 복잡하고 고려해야할 계수들이 많기 때문에 특별한 구조물의 검토할 때를 제외하고 보통은 철근의 간격을 제한하는 간접적인 방법을 사용합니다.
오늘은 철근콘크리트 부재의 균열을 제어하는 방법에 대해서 알아보았습니다. 균열을 제한하는 방법은 직접제한, 간접제한이 있으며 그 중에서 간접제한 방법이 많이 사용됩니다. 또한 간접제한 방법은 철근의 간격을 최대간격이상으로 넘어가지 않게 제한하는 방법으로 해당 내용을 잘 알고 있으면 도움이 될 것이라고 생각합니다.
오늘도 글을 읽어주셔서 감사합니다!
'콘크리트' 카테고리의 다른 글
| 콘크리트 부재의 처짐 : 순간처짐과 장기처짐 (0) | 2024.07.24 |
|---|---|
| 콘크리트의 피로파괴 : 크기가 작은 하중의 반복은 부재의 파괴를 발생 시킬 수 있다 (0) | 2024.06.28 |
| 철근콘크리트 부재의 균열단면2차모멘트 : 균열 전과 후에 따른 단면2차모멘트 다르다 (0) | 2024.06.23 |
| 휨 부재의 강도감소계수 : 부재의 연성능력을 고려한 강도감소계수의 결정 (0) | 2024.06.19 |
| 보 부재의 휨 거동에 대해서 : 인장파괴의 유도가 중요! (0) | 2024.06.17 |