안녕하세요 오늘은 콘크리트 부재의 균열에 따른 단면2차모멘트의 변화에 대해서 글을 작성해 보려고 합니다.
여기서, 중요한 것은 부재의 균열 여부에 따라서 휨강성(EI)값이 바뀐다는 것입니다. 상식적으로 생각해보면 당연한 이야기입니다. 균열이 발생한 부재는 당연히 휨강성의 저하가 발생할 수 밖에 없습니다. 그렇다면 균열이 발생하는 시점은 어떻게 알 수 있을까요?
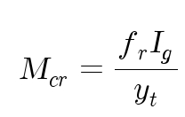
그것은 휨균열모멘트 Mcr값을 기준으로 판단합니다. 여기서 휨균열모멘트는 다음의 값으로 구할 수 있습니다.

여기서, y_t는 단면의 중립축에서 인장연단까지의 거리이며, fr은 휨인장강도로 다음과 같이 구할 수 있습니다.

강도와 관련된 내용은 이전 포스팅에서 다루었으니 한번씩 참고해 주시면 좋을것 같습니다.
콘크리트 재료 성질에 대한 이해 : 가장 많이 쓰이는 건축재료 – 강도(strength)편
안녕하세요 오늘은 건축물에 가장 많이 쓰이는 콘크리트 재료 성질에 대해서 포스팅을 해보도록 하겠습니다. 실제로 콘크리트는 건축을 한다면 제대로 알아야 하는 재료입니다. 하지만 콘크리
manguhouse.com
만약에 외력에 의한 휨모멘트가 휨균열모멘트 Mcr을 초과한다면 콘크리트에는 인장균열이 발생하고 그에 따른 콘크리트의 단면2차모멘트가 감소되는 현상이 발생할 것입니다.
그렇다면 인장균열이 발생한 콘크리트의 균열단면2차모멘트는 어떻게 계산할까요?
첫번째 가정은 인장영역의 콘크리트 단면을 제외한 압축영역만 단면2차모멘트로 계산합니다. 이것은 합리적인 가정입니다. 콘크리트 단면은 인장에 매우 취약하기 때문이죠
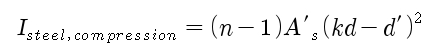
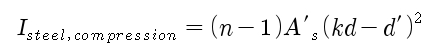
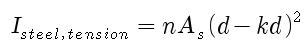
두번째는 압축철근과 인장철근을 단면환산법을 통해서 균열단면2차모멘트 계산에 포함시켜야합니다.
예를 들어 아래와 같은 그림의 콘크리트 단면이 휨균열모멘트 이상의 모멘트를 받아 인장균열이 발생했다고 생각했을 때 다음과 같은 방법으로 균열단면2차모멘트를 산정합니다.

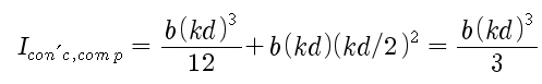
-압축영역의 콘크리트 단면2차모멘트

-환산단면법에 의한 철근의 단면2차모멘트
우선 환산단면에 대해서는 재료역학 부분에서 다들 배워서 알고 있을거라고 생각합니다.
탄성계수가 서로 다른 철근과 콘크리트로 이루어진 철근콘크리트 단면의 역학적성질을 쉽게 표현하기 위한 하나의 방법입니다.
이러한 방법을 탄성계수비로 표현하여 철근의 단면이 탄성계수비 만큼 더 크게 나타내서 계산하는 방법입니다. (철근의 탄성계수가 콘크리트의 탄성계수보다 더 크기때문)
여기서 철근비는 다음과 같이 표현합니다.

그렇다면 단면환산법을 활용하여 철근의 단면2차모멘트를 구해봅시다.
첫 번째로 압축영역은 다음과 같습니다.

여기서, n을 곱하는게 아니고 (n-1)을 곱하는 이유는 이미 콘크리트의 단면2차모멘트를 구할때 철근의 영역까지 포함해서 산정했기 때문에 압축철근의 단면2차모멘트를 구할때는 (n-1)을 곱하여 순면적만을 고려해야입니다.
두 번째로 인장영역의 철근은 다음과 같습니다.

지금까지 구한 콘크리트의 압축영역, 철근의 압축영역, 철근의 인장영역을 다 더하면 균열단면에 대한 단면2차모멘트를 산정할 수 있습니다.

해당내용의 부재의 사용성(처짐)에 대해서 고려할 때 필요한 내용입니다.
구조역학에서 배우는 다양한 하중의 분포와 지점조건에 따른 처짐은 균질한 재료의 탄성영역에 대한 고려입니다.
하지만 실제로 부재는 휨인장균열이 발생하여 이로인해 탄성영역의 범위를 벗어나고 철근과 콘크리트로 이루어진 재료이므로 단면의 환산과정 등이 필요합니다.
그러므로 우리는 콘크리트 부재의 정확한 처짐을 알기 위해서는 부재의 인장균열발생 여부와 그로인한 단면2차모멘트의 재해석이 필요하게 됩니다.
오늘은 균열단면2차모멘트에 대해서 알아보았습니다. 해당내용에 대해서 잘 알고 계시면 콘크리트의 휨강성의 변화와 처짐을 구할 때 도움이 됩니다. 그러니 내용을 잘 이해하고 있으면 도움이 될 것입니다.
오늘도 글을 읽어주셔서 감사합니다 :)
'콘크리트' 카테고리의 다른 글
| 콘크리트의 피로파괴 : 크기가 작은 하중의 반복은 부재의 파괴를 발생 시킬 수 있다 (0) | 2024.06.28 |
|---|---|
| 철근콘크리트의 균열 제한 : 철근의 간격과 균열은 밀접한 관계 (0) | 2024.06.27 |
| 휨 부재의 강도감소계수 : 부재의 연성능력을 고려한 강도감소계수의 결정 (0) | 2024.06.19 |
| 보 부재의 휨 거동에 대해서 : 인장파괴의 유도가 중요! (0) | 2024.06.17 |
| 철근콘크리트의 내구성(KDS 14 20 40) : 오래가는 구조물을 만들기 위한 설계기준 (0) | 2024.06.14 |