안녕하세요 오늘은 콘크리트 부재의 휨 설계에 대해 글을 작성해 보겠습니다. 부재의 휨설계에서 가장 중요한 가정은 압축응력과 콘크리트 변형률 사이의 관계를 가정하는 것입니다.
실제 콘크리트 부재의 응력-변형률 곡선은 비선형의 관계를 보이며 휨설계를 위해서는 면적을 알기 위해 적분을 수행해야 합니다. 하지만 이것은 설계에서 실용적인 방법이 아닙니다. 그러므로 우리는 이것을 이상화한 곡선관계로 가정합니다. 물론 이러한 가정은 합리적인 방법으로 계산식이 제안되었고 그 방법으로는 포물선-직선, 등가직사각형의 형태로 응력분포를 가정합니다.
오늘은 이 등가응력분포에 대한 이야기를 해보려고 합니다.

[포물선-직선형상]
포물선-직선형은 응력의 상승부를 포물선으로 정의하고 그 이후 극한변형률까지는 일정한 응력분포를 가지는 직선형의 응력분포로 정의하는 것입니다. 아래의 그림을 참고해주세요.

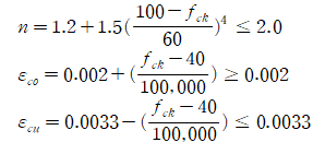
수식으로는 다음과 같이 정의됩니다.

여기서, n과 변형률은 다음과 같이 산정합니다. 만약에 90MPa를 초과하는 강도의 콘크리트는 별도의 실험을 통해 산정해야 합니다.

여기서, 압축응력의 평균값과 압축연단으로부터 합력의 작용위치에 대한 비율을 나타내는 계수로 다음과 같이 알파와 베타가 있습니다.

또한, 중요한 것은 설계압축강도에 0.85를 곱하는 것인데 이것은 최대응력이 유지되는 곡선을 적용할 때 발생할 수 있는 과대평가를 방지하고, 압축강도 시험용 공시체와 실제 구조물의 형상과 크기의 차이에 따른 보정, 장기하중에 의한 크리프로 강도가 감소하는 현상을 반영한 것입니다.
해당 내용의 변수들을 콘크리트 강도에 따라 다음과 같이 건축구조기준에서는 표로 제시되어 있습니다.

[등가직사각형 압축응력블록]
등가직사각형 압축응력블록은 아래의 그림처럼 비선형분포를 직사각형의 압축응력블록으로 가정한 형태입니다.

여기서 압축응력의 합력은 다음과 같이 산정합니다.

여기서, 에타는 콘크리트 직사각형 등가압축응력블록의 크기를 나타내는 계수입니다. 건축구조기준에서는 아래의 표로 위의 변수들을 결정할 수 있도록 제시되어 있습니다.

위의 계수는 어느 정도 암기하는 것이 필요해 보입니다.
오늘은 콘크리트부재의 휨 설계에서 중요한 가정인 압축응력과 변형률사이의 관계에 대해서 알아 보았습니다. 실제의 비선형 응력-변형률관계를 설계에 실용성을 위해서 합리적인 등가압축응력블록으로 가정합니다. 이러한 형태에는 포물선-직선형태, 등가직사각형 형태가 있다는 것을 기억하시고 설계에 잘 적용하셨으면 좋겠습니다.
오늘도 글을 읽어주셔서 감사합니다.😊
'콘크리트' 카테고리의 다른 글
| 모멘트 재분배 : 연속 휨부재는 모멘트가 재분배가 제한적으로 가능하다. (1) | 2024.08.03 |
|---|---|
| 표피철근(skin reinforcement, surface reinforcement) : 측면의 휨 균열 억제를 위한 보강 (0) | 2024.08.02 |
| 휨 부재의 곡률연성도 : 비탄성 거동을 평가하는 중요한 지표 (0) | 2024.07.24 |
| 콘크리트 부재의 처짐 : 순간처짐과 장기처짐 (0) | 2024.07.24 |
| 콘크리트의 피로파괴 : 크기가 작은 하중의 반복은 부재의 파괴를 발생 시킬 수 있다 (0) | 2024.06.28 |