안녕하세요 오늘은 단면의 핵심영역에 대해서 글을 작성해 보려고 합니다.
단면의 핵심영역 또는 핵심점이란 편심되는 축력을 받을 때 편심에 의한 단면에 인장력이 발생하지 않는 범위를 말합니다.
이렇게 말로 설명하면 이해가 잘 안갈수도 있으니 그림으로 설명해 보겠습니다.

여기서 Case A는 단면의 중심에 축력이 작용하므로 응력이 모든 단면에 균일한 압축응력분포를 나타냅니다.
Case B는 약간의 편심거리가 생겨서 응력의 불균형분포가 발생하고, Case C에서 단면의 끝 연단에서 압축력 0이되는 편심거리가 있습니다. 이 지점을 핵심점이라고 합니다.
Case D는 더 많은 편심거리가 생겨서 단면의 연단에 인발이 발생합니다.
여기서 핵심점이 나타내는 의미는 단면에 인장력이 발생하지 않는 범위를 나타나내기 위한 것입니다.
콘크리트 재료는 압축력에는 강하고 인장력에 대해서는 취약하므로 이러한 핵심점, 핵심영역에 대한 개념을 이해하는게 중요해 보입니다.
그러면 간단한 예제로 핵심영역을 구하는 방법을 알아보겠습니다.
아래의 사각형에 대해서 핵심구역, 핵심역영에 대해서 산정해 보도록하겠습니다.

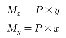
하중P가 임의 점(x,y)에 작용할 때를 생각해 봅시다.

위와 같은 편심모멘트가 단면에 작용하게 될 것입니다. 여기서 단면에 작용하는 응력이 최소가 되는 곳은 단면의 중심으로 부터 가장 멀리 떨어져있는 각 모서리가 될 것입니다.
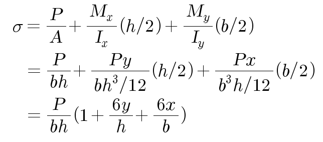
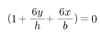
그러므로 (b/2, h/2)지점에서의 응력을 계산하면 다음과 같을 것입니다.

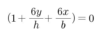
이때 핵심점은 응력이 0이 되는 지점이므로 다음과 정리할 수 있습니다.

이므로 y=0일때 x=-b/6, x=0일때 y=-h/6이 됩니다.
그리고 사각형은 대칭이므로 핵심영역은 다음의 그림과 같이 나올것입니다.

위의 그림에서 붉은색 영역이 핵심영역이며 해당 범위안에서는 편심으로인한 인장력이 단면에 발생하지 않습니다.
오늘은 핵심점 및 핵심영역에 대해서 알아보았습니다. 해당 내용의 기둥의 안정성과 관련된 내용으로 일반적으로 다루지않은 내용이나 이러한 내용을 잘 알고 있으면 나중에 사용할 날이 올수도 있습니다! 오늘도 글을 읽어주셔서 감사합니다!
'역학' 카테고리의 다른 글
| 건축구조공학의 기초 : Mohr’s Circle을 이용한 관성 모멘트 계산과 이해 (0) | 2024.06.02 |
|---|---|
| 건축구조공학 기초 : 평행축 정리를 이용한 단면의 성질 (기초-6) (0) | 2024.06.02 |
| 건축구조공학의 기초: 단면의 성질의 이해와 종류 (기초-5) (0) | 2024.06.01 |