안녕하세요! 오늘은 Mohr’s Circle(모어 원)을 이용해서 관성 모멘트에 대해서 이해하는 글을 작성해 보겠습니다😊 Mohr’s Circle을 사용하면 주축(Principal axis)와 주관성모멘트(Principa moment of inertia)를 찾을 때 매우 유용합니다.
주축(Principal axis)이란?
주축(Principal Axis)은 물체의 관성 모멘트가 최대 또는 최소가 되는 축을 의미합니다. 이러한 주축을 찾으면 물체의 단면의 성질을 분석하는 데 있어서 매우 유용합니다. 참고로 주축은 물체의 관성 모멘트 행렬을 대각화(diagonalization)하여 얻을 수 있습니다. 이때, 주관성 모멘트는 대각 성분으로 나타나고, 주축은 대각화 과정에서 얻어진 고유벡터(eigenvector)에 해당합니다.
이제부터 Mohr’s Circle에 대해서 자세히 알아보도록합시다. 고등학교때의 삼각함수의 공식들이 많이 사용될 수 있으니 참고해주세요!

Mohr’s Circle은 다음과 같이 도식화 할 수 있습니다. 그림에서의 점 A, B, C, D, E, F, O의 정보를 알아내고 각각의 의미에 대해서 정리해 보도록 하겠습니다.
1. 축의 회전에 의한 관성모멘트를 구하는 과정
우선 해당 내용을 알기 위해서 선행되어야 하는 스터디가 있습니다. 그것은 바로 축이 회전했을 때 우리는 그 회전한 축에 대해서 관성 모멘트를 구할 수 있어야 합니다. 말로만 설명하니깐 잘 이해가 안 가시죠? 그림으로 한번 표현해 보도록 하겠습니다.

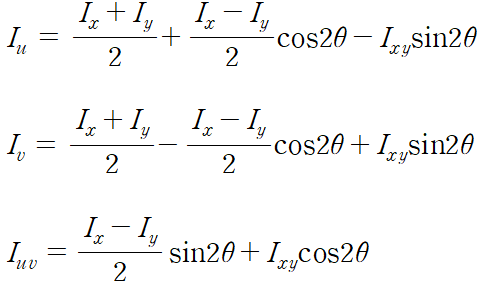
그림에서 우리는 x, y축에 대한 관성 모멘트를 계산했습니다. 그런데 여기서 약간의 호기심이 작용해서 축을 θ만큼 회전시켜서 새로운 u, v축에 대한 관성 모멘트를 구하고 싶어졌습니다. 그럴 때 우리는 x, y축에서 구한 관성 모멘트로 새롭게 생성된 v, u축에 대한 관성 모멘트를 표현할 수 있습니다! 우선 u, v값을 구해보도록 하겠습니다.

u와 v는 기본적인 삼각함수로 위의 그림처럼 구할 수 있습니다. 전혀 어렵지 않습니다. 그렇게 보이는 것뿐입니다!
자 이렇게 u, v의 거리를 x, y 그리고 θ로 표현해봤습니다. 다음은 관성 모멘트로 표현해 봅시다.

위의 표현을 이제 적분하면 새로운 축에 대한 관성 모멘트를 구할 수 있습니다. 이제 다 왔습니다~~!

여기까지는 따라오셨죠? 진짜 단순 계산일 뿐입니다...! 복잡해 보이는 척 하는 산수문제 같은 느낌😉
이제 삼각함수의 배각공식을 이용해서 조금 더 clear 하게 정리해 봅시다.
혹시 배각공식이 기억 안 나시는 분들을 위해 언급하고 넘어가겠습니다!

이제 위의 관성 모멘트를 조금 더 깔끔하게 정리해 봅시다.

위의 식처럼 θ만큼 회전된 u,v 축에 대한 관성모멘트는 θ와 기존의 관성 모멘트로 표현됩니다.
또한, 극관성 모멘트는 좌표축의 회전과는 무관하게 항상 동일합니다! 자명한 내용이죠.
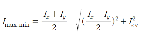
저는 이제 θ를 얼마를 회전해야 관성 모멘트의 최댓값과 최솟값이 되는지 궁금해졌습니다. 우리는 미분을 통해 극대값과 극소값을 구할 수 있습니다.

우리는 이것을 다음과 같이 정리할 수 있을것입니다.

위의 식을 만족하는 θ를 주각 Principal angle이라고 부릅니다. 또한, 주각만큼 회전했을 때 나오는 관성 모멘트는 주관성 모멘트(Principal Moments of Inertia)로 최댓값과 최솟값을 가집니다. 이것은 단면의 고유값이므로 변하지 않습니다. 또한, 위의 식을 아래의 그림처럼 그래프로 나타낼 수 있습니다.

그래프를 참고하면 관성모멘트의 최댓값과 최솟값은 아래와 같이 표현이 가능합니다.

지금까지 축이 회전하면 관성 모멘트가 어떻게 변화하고 Principal axis를 찾는 과정에 대해서 설명해 드렸습니다. 전반적인 내용을 이제는 다 설명드렸고 해당 내용을 바탕으로 이제 Mohr’s Circle을 설명하겠습니다.
2. Mohr’s Circle, 원의 방정식으로 표현하기
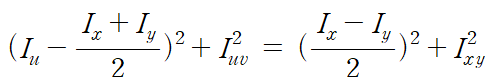
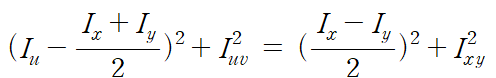
Mohr’s Circle은 위의 정리한 내용들을 원의 방정식으로 표현해서 축이 회전함에 따라 쉽게 관성모멘트를 구할 수 있고 간편하게 Principal axis를 찾을 수 있게 표현한 것입니다.

다음과 같은 식으로 정리하여 원의 방정식으로 생각할 수 있습니다.
조금 더 간단히 표현하면 다음과 같습니다.

이렇게 보시면 원의 방정식으로 표현한 Mohr’s Circle이 보이시나요?
여기서 중요한 것은 Principal Angle입니다. 실제로 단면에서 축을 θ만큼 회전하면 Mohr’s Circle에서는 2θ만큼 회전하게 됩니다. 이것을 혼동하지 마시고 문제를 풀거나 공부하실 때 꼭 기억하셨으면 좋겠습니다. Mohr’s Circle은 관성모멘트 뿐만 아니라 응력과 변형률로도 표현할 수 있습니다. 해당 내용은 나중에 포스팅하도록 하겠습니다!
요약하면 모어 원(Mohr's Circle for Moments of Inertia)은 구조물이나 물체의 주관성 모멘트를 찾기 위한 그래픽적 도구입니다. 주관성 모멘트는 물체가 회전할 때 가장 큰 저항을 나타내는 축을 의미합니다. 모멘트의 모어 원은 이러한 주축과 주관성 모멘트를 찾는 데 사용됩니다.
단계별 절차로는 다음과 같이 나타낼 수 있을 것 같습니다.
-초기 관성 모멘트와 단면상승 모멘트 계산
주어진 축에 대한 관성 모멘트 및 단면상승 모멘트 계산합니다.
-모어 원의 중심과 반지름 계산
계산한 초기 관성을 바탕으로 모어 원의 중심과 반지름을 계산합니다.
-주관성 모멘트 계산
주관성 모멘트(Principal Moment of Inertia)를 계산합니다.
-주축의 방향 계산
주축의 방향, 즉 주축의 각도를 구합니다.
이러한 과정을 거치면 Mohr's Circle을 작도할 수 있습니다.
지금까지 Mohr’s Circle을 이용한 관성 모멘트 계산과정과 Mohr’s Circle을 이해하기 위한 축의 회전에 따른 관성 모멘트가 어떻게 변하는지 알아보았습니다. 내용이 어려워 보일 수 있으나 실제로는 굉장히? 쉽습니다. 차근차근 공부해 봅시다! 오늘도 고생하셨습니다. 감사합니다😊
'역학' 카테고리의 다른 글
| 단면의 핵심영역(핵심점) : 단면에 인장력이 발생하지 않는 범위 (0) | 2024.06.20 |
|---|---|
| 건축구조공학 기초 : 평행축 정리를 이용한 단면의 성질 (기초-6) (0) | 2024.06.02 |
| 건축구조공학의 기초: 단면의 성질의 이해와 종류 (기초-5) (0) | 2024.06.01 |