안녕하세요! 오늘은 건축구조공학의 기초중에 기초인 단면의 성질에 대해서 알아보도록 하겠습니다😊 단면의 성질은 재료역학에서 자주 사용되고 구조물의 강도와 안정성을 평가하는데 중요한 역학을 합니다. 단면의 성질은 주로 기하학적 특성과 관련이 있으며, 이를 통해 물체가 외부 하중에 어떻게 작용할지 예측할 수 있습니다. 주요 단면 성질에는 다음과 같은 것들이 있습니다.
1. 단면적
2. 단면의 중심
3. 단면 1차모멘트
4. 단면 2차모멘트
5. 단면계수(탄성단면계수, 소성단면계수)
6. 형상계수
7. 단면 상승모멘트
8. 극관성모멘트가
아래의 그림을 예시로 지금부터 하나씩 알아보도록 하겠습니다.

1. 단면적(Area, A)
단면적은 단면의 전체 면적을 나타내며, 이는 재료가 얼마나 많은 하중을 견딜 수 있는지 결정짓는 기본적이 성질입니다. 상식적으로 단면이 커질수록 더 많은 하중을 지지할 수 있을 것입니다. 단면적을 구하는 식은 다음과 같습니다.

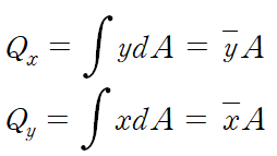
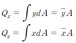
2. 단면 1차 모멘트(First Moment of Area, Q)
단면 1차 모멘트는 특정 축에 대해 단면의 특정 면적 분포를 나타내는 값으로 관심 영역의 면적에 관심 영역의 도심까지의 거리를 곱한 값입니다. 주로 단면 1차 모멘트는 전단응력을 계산하는데 사용됩니다.

예시로 사각형 도형에 대해서 아래의 그림과 같을 때 x, y축에 대한 단면 1차 모멘트는 다음과 같습니다.

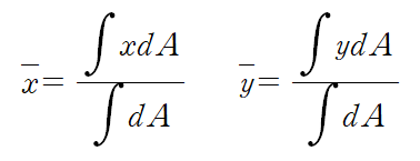
3. 단면의 중심 (Centroid)
단면의 중심은 기하학적 형상에 따라 정해지는 점으로, 단면의 면적이 균등하게 분포된 지점을 말합니다. 이는 기하학적 형상의 균형점으로 볼 수 있습니다. 단면의 중심은 구조물의 강도와 안정성을 분석할 때 중요한 역할을 합니다. 단면의 중심은 각 면적 요소의 좌표를 면적에 대해 가중 평균하여 계산합니다. 2차원 좌표계에서 단면의 중심을 구하는 일반적인 방법은 다음과 같습니다.

4. 단면 2차 모멘트(Moment of Inertia, I)
관성모멘트라고 말하는 단면 2차 모멘트는 구조물의 단면이 굽힘에 저항하는 능력을 나타내 중요한 기하학적 특성입니다. 이는 주로 보와 같은 구조물의 휨강도를 계산할 때 사용됩니다. 단면 2차 모멘트는 다음과 같이 정의됩니다.

예시로 사각형 도형에 대해서 아래의 그림과 같을 때 x, y축에 대한 단면 2차 모멘트는 다음과 같습니다.

또한, 평행축 정리(Paralle Axis Theorem)도 같이 알고 있으면 좋은데 이것은 다음 포스팅에서 설명하도록 하겠습니다.
5. 단면계수(Section Modulus), 형상계수 (Shape factor)
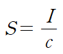
단면계수에는 탄성단면계수와 소성단면계수가 있습니다. 탄성 단면계수는 구조물이 탄성 상태에서 휨이 발생했을 때의 저항능력을 나타냅니다. 탄성 단면계수(S)의 정의는 다음과 같습니다.

여기서, I는 단면 2차 모멘트이고 c는 중립축으로부터 단면의 최외단까지의 거리입니다. 직사각형 단면의 경우 (bh^2)/6 의 탄성단면계수를 가집니다.
소성단면계수는 구조물이 소성 상태에 도달 했을때의 저항력을 평가하는데 사용됩니다. 즉, 구조물의 단면이 소성 변형을 일으켜 추가적인 하중을 저항할 수 있는 능력을 말합니다. 소성변형 Zp 는 다음과 같이 정의됩니다.

여기서, Mp는 소성모멘트, σy는 재료의 항복강도입니다.
형상계수는 f는 특정 단면에 대해서 굽힘이나 전단과 같은 응력에 어떻게 반응하는지 설명하는 계수입니다. 단면이 복잡할수록 형상계수의 중요성이 더커지며 형상계수는 소성단면계수와 탄성단면계수의 비율로 나타냅니다.
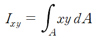
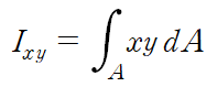
6. 단면 상승모멘트(Product of Inertia of Area)
단면상승모멘트는 어떠한 면적의 질량분포를 두 직교하는 축에 대해 어떻게 분사되는지 알 수 있는 지표라고 생각하시면 됩니다. 그래서 단면 상승모멘트는 주축을 찾고 비틀림을 계산하는데 사용합니다. 단면 상승모멘트는 다음과 같이 정의됩니다.

또한, 평행축 정리(Paralle Axis Theorem)를 이용하는 공식은 다음 포스팅에서 다뤄보도록 하겠습니다.
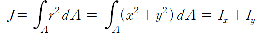
7. 극관성 모멘트(polar moment of inertia)
극관성 모멘트는 물체가 회전하는 데 필요한 에너지의 양을 알 수 있는 지표입니다. 즉, 물체가 특정점을 중심으로 회전할 때 얼마나 많은 관성을 가지고 있는지를 나타냅니다. 그래서 주로 비틀림에 저항하는 성질이라고 생각하면 쉽습니다. 극관성 모멘트 값이 크면 단면에 비틀림이 작용했을 때 그 비틀림에 대한 변형정도는 작을 것입니다. 그래서 비틀림 공식에서 주로 사용됩니다. 극관성 모멘트의 정의는 다음과 같습니다.


지금까지 건축구조공학을 공부하는데 필요한 기초지식인 단면의 성질에 대해서 알아 보았습니다. 단면의 성질은 정말 계속 사용되는 개념이니 다들 정확히 이해하고 넘어가셨으면 좋겠습니다. 오늘도 고생하였습니다! 감사합니다👍
'역학' 카테고리의 다른 글
| 단면의 핵심영역(핵심점) : 단면에 인장력이 발생하지 않는 범위 (0) | 2024.06.20 |
|---|---|
| 건축구조공학의 기초 : Mohr’s Circle을 이용한 관성 모멘트 계산과 이해 (0) | 2024.06.02 |
| 건축구조공학 기초 : 평행축 정리를 이용한 단면의 성질 (기초-6) (0) | 2024.06.02 |