안녕하세요! 오늘은 단면의 성질중에서 관성모멘트를 중심축에서 평행한 다른 축으로 변환하는데 사용되는 평행축 정리(Parallel Axis Theorem)에 대해서 알아보도록 하겠습니다. 평행축 정리는 어떤 단면의 중심축에 대한 관성 모멘트가 주어졌을 때, 그 중심축에 평행하고 중심축으로부터 d만큼 떨어진 관성모멘트를 구하는 것이다. 아래의 그림이 그 예시입니다.

그렇다면 위의 그림을 예시로 평행축 정리에 대해서 설명해 보도록 하겠습니다.
1. 단면 2차 모멘트와 극관성 모멘트의 평행축 정리 적용법
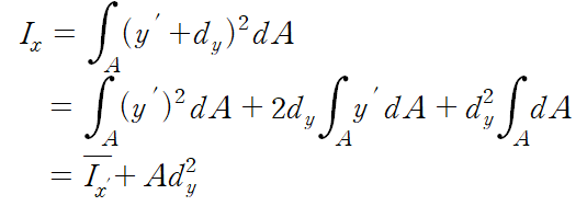
단면 2차 모멘트와 극관성 모멘트가 단면의 중심축에서 일정 거리만큼 평행하게 이동했을 때, 새로운 평행 이동된 축에 대해서 단면 2차 모멘트와 극관성 모멘트의 평행축 정리를 적용하는 공식을 유도하고 식에 대해서 알아 보도록 하겠습니다!
증명)

여기서,

는 단면의 중심에서의 단면 1차 모멘트이다. 그러므로 다음과 같이 정리 될 수 있습니다.

단면의 중심에서 중심까지의 거리는 자명하게 0입니다!
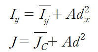
같은 방식으로 Iy와 J를 정리할 수 있습니다.

지금까지 단면 2차모멘트와 극관성 모멘트를 평행축 정리를 적용할 때의 공식에 대해서 알아 보았습니다. 이제 단면 상승 모멘트의 평행축 정리를 적용하는 공식에 대해서 유도해 보겠습니다.
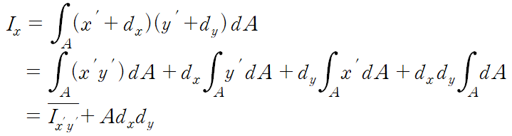
2. 단면 상승모멘트의 평행축 정리 적용법
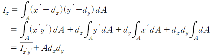
단면 상승모멘트는 단면의 중심축에서 일정 거리 만큼 평행하게 이동했을 때, 새로운 평행 이동된 축에 대해서 단면 상승모멘트의 평행축 정리를 적용하는 공식을 유도하고 식에 대해서 알아 보도록 하겠습니다! 단면 2차모멘트에 적용할 때와 비슷하지만 아주 조금 다르기 때문에 다시 유도하는 것입니다!
증명)

단면 상승모멘트의 평행축 정리도 단면 2차 모멘트와 극관성모멘트와 비슷하게 정리되는 것을 확인할 수 있습니다.
오늘은 단면의 성질을 평행축정리를 이용하는 공식에 대해서 알아보았습니다. 평행축 정리는 중심축에 대한 관성 모멘트를 평행한 다른 축에 대한 관성 모멘트로 변환하는 간단하고 유용한 정리입니다. 이 정리는 단면해석에서 필수적이고 자주 사용하게 될 내용이므로 꼭 기억하시면 좋을 것 같습니다. 오늘 하루도 고생하셨습니다~ 감사합니다😊
'역학' 카테고리의 다른 글
| 단면의 핵심영역(핵심점) : 단면에 인장력이 발생하지 않는 범위 (0) | 2024.06.20 | 
|---|---|
| 건축구조공학의 기초 : Mohr’s Circle을 이용한 관성 모멘트 계산과 이해 (0) | 2024.06.02 | 
| 건축구조공학의 기초: 단면의 성질의 이해와 종류 (기초-5) (0) | 2024.06.01 |