안녕하세요 오늘은 내진성능평가에서 사용하는 재료강도를 결정하는 방법에 대해서 포스팅하려고 합니다. 현재 대표적인 매뉴얼인 MOE2021: 「학교시설 내진성능평가 및 매뉴얼(2021)」과 KISTEC2021: 「기존 시설물(건축물) 내진성능 평가요령(2021)」을 기준으로 설명을 할 예정입니다.
<목차>
-콘크리트 및 철근의 재료강도 결정
-철골 재료강도 결정
-조적 재료강도 결정
[콘크리트 및 철근의 재료강도 결정]
콘크리트와 철근의 재료강도를 결정하는 것은 내진성능평가를 수행할 때 가장 기초적인 내용이면서 가장 중요한 내용입니다. 실제로 피어리뷰(제3자검증)을 수행할 때 단골로 등장하는 질의내용입니다. 콘크리트 및 철근의 재료강도 결정 방법은 다음과 같습니다.
① 현장시험을 통한 재료강도 결정 (콘크리트)
② 설계도서에 명시되어 있는 재료강도 사용 (콘크리트 및 철근)
③ 건설연도별 재료강도 사용 (콘크리트 및 철근)
위의 항목에 대해서 하나씩 설명드리겠습니다.
① 현장시험을 통한 재료강도 결정 (콘크리트)
우선적으로 MOE의 내용과 KISTEC의 내용이 서로 상이하다는 것을 기억해야합니다. 두 개의 지침이 서로 동일하지 않으니 내진성능평가 대상 건축물이 학교시설물인지 아닌지 잘 구분해야 합니다! 꼭!
-KISTEC2021 및 MOE2021 공통사항
두 매뉴얼의 공통사항은 현장조사를 통해 재료강도를 결정하는 경우 무조건 코어시험을 하는 것입니다. 비파괴시험만 진행해서 재료강도를 결정해서는 안됩니다.
- 현장시험은 무조건 코어시험을 기본으로한다.
- 층당 1개의 코어시험을 한다.
- 최소 코어시험 개소는 6개소
- 익스팬션조인트(EJ)로 분리되어 있는 경우 별개의 조사단위로 분류하여 각각 코어강도를 시험한다.
- 코어시험 최소 수량이 6개소를 초과하나 이를 모두 시험하기 어려운 경우 비파괴시험을 병용할 수 있다.
(이 경우에도 적어도 6개소의 코어강도를 시험을 수행하고 나머지 부분은 비파괴시험을 해야함)
-KISTEC2021 및 MOE2021 차이점
| 구분 | KISTEC2021 | MOE2021 |
| 설계기준강도(공칭강도) | ![]() |
![]() |
| 기대강도(평균강도) | ||
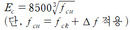
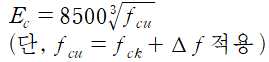
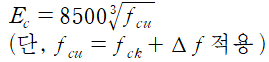
| 탄성계수 | ||
여기서, 주의해야 할 부분은 변동계수가 0.2이하인 경우 설계기준강도를 구하는 방법이 서로 다르다는 것과 탄성계수를 산정할 때 재료실험을 통해 도출된 평균강도를 적용해야 한다는 점입니다.
해당 내용관 관련된 엑셀자료를 별도로 올려드리니 실무하시는 분이나 개인적으로 공부하시는 분들은 참고하시면 좋을 것 같습니다.
② 설계도서에 명시되어 있는 재료강도 사용 (콘크리트 및 철근)
설계도서에 명기된 강도로 부터 내진성능평가용 강도를 산정하는 방법은 KISTEC2021과 MOE2021이 동일합니다.
만약에 설계도서에 명기된 설계기준강도를 사용할 경우, 내진성능평가에서는 대상 구조물이 설계도서에 따라 시공되었다고 보고 경과년수와 재료의 상태에 따른 감소계수를 적용해야합니다.
| 구분 | 감소계수 | |
| 경과 연수 | 30년 이상 | 0.8 |
| 20년 이상 | 0.9 | |
| 20년 미만~ | 1.0 | |
| 재료 상태 | 양호 | 1.0 |
| 보통 | 0.9 | |
| 불량 | 0.8 | |
또한 설계도서 강도로부터 기대강도를 구하는 방법은 지침에서 제시된 재료별 보정계수를 곱하여 산정합니다.
| 재료 | 설계기준강도 | 보정계수 |
| 콘크리트 압축강도(MPa) | 21이하 | 1.20 |
| 21초과 40이하 | 1.10 | |
| 40초과 | 1.00 | |
| 철근의 인장 및 항복강도(MPa) | 300미만 | 1.25 |
| 300이상 400미만 | 1.20 | |
| 400이상 500미만 | 1.10 | |
| 500이상 600미만 | 1.05 | |
| 600이상 | 1.00 |
탄성계수는 건축구조기준에서 제시되어 있는 식을 그대로 사용합니다.

③ 건설연도별 재료강도 사용 (콘크리트 및 철근)
건설연도별 재료강도는 KISTEC2021과 MOE2021이 서로 상이한 부분이 있습니다.
만약에 재료시험도 안하고 설계도서도 없을경우 건설연도별 재료강도의 기본값을 사용할 수 있습니다. 이 값은 이미 경과년수에 따른 재료강도의 감소가 이미 고려되어 있으므로 이에 대해 추가적으로 고려하지 않아도 되나, 재료상태에 따른 재료강도 감소계수는 현장조사에 근거하여 적용해야합니다.
- KISTEC2021에 의한 건설연도별 재료의 기본값

- MOEC2021에 의한 건설연도별 재료의 기본값

두 지침의 표를 보면 2001년 이후의 값이 서로 다른 것을 확인할 수 있으며 1989년-2000년 사이의 철근의 강도는 책임기술자 판단 하에 2001년 이후 강도와 동일한 값을 사용할 수 있습니다.
④ 재료강도 선택의 우선순위
만약에 코어시험강도와 설계도서강도, 건설연도별 재료강도의 기본값 중에 우선적으로 사용해야하는 순위가 있습니다.
1순위 : 코어시험강도
2순위: 설계도서강도
3순위: 건설연도별 재료강도
하지만 때때로 발주처의 요구에 따라 보수적인 평가를 위해 위의 3개 강도 중 가장 낮은 값을 사용하는 경우도 종종있었습니다. 하지만 기본적으로 위의 순위에 따라 재료강도를 결정합니다.
[철골 재료강도 결정]
철골재료강도는 다음의 방법으로 결정합니다.
① 설계도서를 통한 결정
② 재료강도시험을 통해 결정(현실적으로 어려음)
③ SS400으로 가정하여 평가
②항목은 현실적으로 어려운점이 있습니다. 그래서 대부분의 업체에서 ②항목으로 재료강도를 결정하지 않아 이번에 간단하게 설명하고 넘어가도록 하겠습니다.
① 설계도서를 통한 결정
설계도서에 강종 혹은 재료강도가 명기되어 있는 경우에 해당 설계도서강도를 사용할 수 있습니다. 또한 강종만 명기되어 있으면 지침에서 제시하는 표에 따라 결정할 수 있습니다.

만약에 개정된 규격으로 명시되어 있는 경우에는 건축구조기준에 따라 강도를 결정할 수 있습니다.

여기서, 기대강도를 산정하기 위해서는 지침에서 제시하는 계수를 곱하면 쉽게 산정이 가능합니다.

② 재료강도시험을 통해 결정
설계도서가 없거나 강종이 명기되어 있지 않은 경우에는 현장에서 표본을 채취해서 결정할 수 있습니다.
- 지진력 저항시스템의 부재와 연결재 종별로 1개 이상의 표본을 채취
- 표본 채취 위치는 표본 채취에 의해 저감된 강도가 소요강도 이상을 유지할 수 있는 위치에서 수행
- 리벳이나 볼트와 같은 연결재를 표본으로 제거한 경우, 동등한 연결재로 바로 재설치
- 재료 강도시험 방법은 한국산업규격(KS)에 따른다.
하지만 실무를 하면서 실제로 철골구조물은 재료강도시험을 통해서 결정을 잘 하지 않았습니다. 아마 현실적으로 표본을 채취하는게 어렵기 때문이라고 생각됩니다.
③ SS400으로 가정하여 평가
만약에 설계도서가 없고 재료강도시험을 수행하지 않은 경우 보와 기둥을 SS400으로 가정하여 평가를 진행할 수 있습니다. 이것은 보수적인 평가를 위해서 가장 강도가 낮은 재료로 가정하는 것이며 기대강도는 설계기준강도에 1.1을 곱하여 결정합니다.
[조적 재료강도 결정]
내진성능평가에서는 조적채움벽과 조적허리벽을 고려하도록 제시하고 있습니다. 조적 채움벽과 허리벽은 등가의 스트럿모델로 치환되어 해석모델에 반영하게 됩니다. 이때 사용될 재료강도는 다음과 같은 방법으로 결정할 수 있습니다.
① 재료시험을 통한 결정
② 지침에서 제시하는 표에 따라 결정
조적재료시험을 통해서 재료강도의 결정은 대부분 하지 않으며 지침에서 제시하는 방법에 의해서 강도를 결정하는 경우가 많습니다. 그러므로 지침에서 제시하는 방법만 설명드리도록 하겠습니다.
② 지침에서 제시하는 표에 따라 결정
MOE와 KISTEC지침 모두 내용은 동일하며 여기서 재료시험을 하지 않은 경우 아래의 제시된 표에 따라 설계기준강도를 결정할 수 있습니다.

- 현장조사에 의한 근거가 제시되지 않는 경우 조적의 상태는 채움벽은 '불량', 허리벽은 '양호'로 결정
(대부분 이 방법으로 재료상태 결정) - 기대강도는 설계기준강도의 1.3배로 가정
- 현장조사 결과
벽면 양쪽에 양호한 모르타르 마감이 있는 경우 '양호'
벽면 한쪽 면에만 양호한 모르타르 마감이 있는 경우 '보통'
조적채움벽과 골조사이에 틈새가 없고 벽면 전체에 시공되어 있는 경우에만 양호한 모르타르 마감으로 간주할 수 있음
(무조건 현장조사 결과에 따른 근거자료가 제시될 수 있어야 함)
조적의 탄성계수는 아래의 표로 결정합니다.

여기서 중요한 것은 f'm은 조적벽의 기대강도를 사용해야합니다.
오늘은 내진성능평가에서 사용하는 재료강도를 결정하는 방법에 대해서 포스팅을 했습니다. 제가 실무를 하면서 제3자검증이나 평가를 하는 사람들이 가장 민감하게 확인하는 것이 재료강도인 것 같다는 느낌이 들어서 현재 대표적인 매뉴얼인 MOE2021: 「학교시설 내진성능평가 및 매뉴얼(2021)」과 KISTEC2021: 「기존 시설물(건축물) 내진성능 평가요령(2021)」을 기준으로 설명을 드렸습니다. 해당 내용을 잘 숙지하셔서 실무를 할 때 실수를 줄일 수 있도록 하면 좋겠습니다. 오늘도 글을 읽어주셔서 감사합니다. 😊
'내진성능평가' 카테고리의 다른 글
| 조적허리벽으로 인한 기둥의 단주효과(내진성능평가 수행 시 중요) (0) | 2024.08.12 |
|---|---|
| 비선형정적해석(Pushover Analysis) 고차모드영향 검토 (0) | 2024.08.09 |
| 유효지반가속도 : 좁은 우리나라도 지역마다 지진 위험도가 다릅니다. (0) | 2024.06.06 |
| 내진보강공법의 종류 : 철골가새골조 보강, 전단벽 보강, 부축벽 보강 등 내진보강공법의 종류와 선정방법 (1) | 2024.06.05 |
| 학교시설물 내진성능평가 (MOE 2021) : 지진발생 시 학생들의 안전을 보장하기 위한 내진성능평가 (0) | 2024.06.03 |



